Hello everyone!
While working on a piece of code, I got stuck with a problem but my lack of math background makes it hard to even phrase the question to google, as whatever I find doesn’t seem to fit. Could you please push me in the right direction?
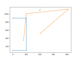
I have 4 points defining a 4 dimensional space. To be clear with my definitions, the first point in the table below is: x = 0, y = 900, z = 205, w = 526.
How to find x and y (is it a range?) for any given pair of z and w? In the table, z = 200, w = 1100, x = ?, y = ?

I tried starting with 2D intersections but that seems to lead nowhere.
Thank you!
While working on a piece of code, I got stuck with a problem but my lack of math background makes it hard to even phrase the question to google, as whatever I find doesn’t seem to fit. Could you please push me in the right direction?
I have 4 points defining a 4 dimensional space. To be clear with my definitions, the first point in the table below is: x = 0, y = 900, z = 205, w = 526.
How to find x and y (is it a range?) for any given pair of z and w? In the table, z = 200, w = 1100, x = ?, y = ?

I tried starting with 2D intersections but that seems to lead nowhere.
Thank you!

