Find LCM of Polynomials...1

feliz_nyc

Junior Member
Joined
Aug 6, 2022
Messages
124
College Algebra
Chapter 1/Section 7
 

Attachments

  • IMG_20220805_193701.jpg
    IMG_20220805_193701.jpg
    844.1 KB · Views: 9
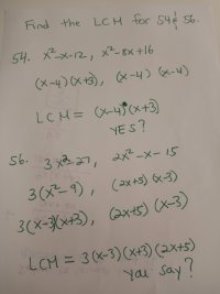
Does the blot mean that you do or do not want an exponent there?
1659908116705.png

Now, how can you check your answer? What is the definition of LCM? Does this fit that definition?

The second problem looks good. But how would you check it?
 
Does the blot mean that you do or do not want an exponent there?
View attachment 33623

Now, how can you check your answer? What is the definition of LCM? Does this fit that definition?

The second problem looks good. But how would you check it?
Does the blot mean that you do or do not want an exponent there?
View attachment 33623

Now, how can you check your answer? What is the definition of LCM? Does this fit that definition?

The second problem looks good. But how would you check it?
The blot means I don't want an exponent there. It is a guess. What is LCM?

LCM = Least Common Multiple, which is the smallest positive number that is a multiple of two or more numbers. I understand the concept when it comes to regular numbers

Example: The Least Common Multiple of 3 and 5 is 15. Why? Simply because 15 is a multiple of 3 and also a multiple of 5. How do I apply this same concept to polynomials? I don't know how to check it. My guess is multiplication.
 
The blot means I don't want an exponent there. It is a guess. What is LCM?
Well, there should be an exponent there! We'll be working through why.

LCM = Least Common Multiple, which is the smallest positive number that is a multiple of two or more numbers. I understand the concept when it comes to regular numbers

Example: The Least Common Multiple of 3 and 5 is 15. Why? Simply because 15 is a multiple of 3 and also a multiple of 5. How do I apply this same concept to polynomials? I don't know how to check it. My guess is multiplication.

This is true for numbers, but you are studying polynomials, right? What definition were you given in this context? Surely they didn't just throw questions like this at you with no definition and no examples to explain it.

But the same idea is present in both cases: The LCM must be a multiple of each individual expression, and there must be no such common multiple that is "smaller" (here, lower degree).

In particular, the LCM will contain all the factors of each expression.
I say (x - 4)^2 does not go evenly into
(x - 4)(x + 3). Can you show me algebraically why it does not?
A multiple of (x-4)^2 would have (x-4)^2 as a factor. (x - 4)(x + 3) does not. It's that simple.

(We aren't talking about divisibility by numbers, but by polynomials. You may be confusing the two.)
 
[imath]\dfrac{(x - 4)(x - 3)}{(x - 4)^2} = \dfrac{(x - 4)(x - 3)}{(x - 4)(x -4)} = \dfrac{x - 3}{x - 4}[/imath]

Can you divide this evenly any further? That is to say, can you do this division and get a polynomial?

-Dan
No. We cannot divide further.
 
Well, there should be an exponent there! We'll be working through why.



This is true for numbers, but you are studying polynomials, right? What definition were you given in this context? Surely they didn't just throw questions like this at you with no definition and no examples to explain it.

But the same idea is present in both cases: The LCM must be a multiple of each individual expression, and there must be no such common multiple that is "smaller" (here, lower degree).

In particular, the LCM will contain all the factors of each expression.

A multiple of (x-4)^2 would have (x-4)^2 as a factor. (x - 4)(x + 3) does not. It's that simple.

(We aren't talking about divisibility by numbers, but by polynomials. You may be confusing the two.)
I will continue to practice. I'm probably over thinking this concept.
 
Well, there should be an exponent there! We'll be working through why.



This is true for numbers, but you are studying polynomials, right? What definition were you given in this context? Surely they didn't just throw questions like this at you with no definition and no examples to explain it.

But the same idea is present in both cases: The LCM must be a multiple of each individual expression, and there must be no such common multiple that is "smaller" (here, lower degree).

In particular, the LCM will contain all the factors of each expression.

A multiple of (x-4)^2 would have (x-4)^2 as a factor. (x - 4)(x + 3) does not. It's that simple.

(We aren't talking about divisibility by numbers, but by polynomials. You may be confusing the two.)

How about now?
 

Attachments

  • IMG_20220808_115749.jpg
    IMG_20220808_115749.jpg
    915.7 KB · Views: 5
  • IMG_20220808_115759.jpg
    IMG_20220808_115759.jpg
    916.1 KB · Views: 5
I will continue to practice. I'm probably over thinking this concept.
I asked you if your book has a definition of the LCM of polynomials, and I'd really like an answer to that question:

This is true for numbers, but you are studying polynomials, right? What definition were you given in this context? Surely they didn't just throw questions like this at you with no definition and no examples to explain it.

First, that will make sure you are actually reading and learning from the book, and not just jumping into the exercises, as some students do. Second, it will show me how your book states things.
How about now?
1659976402822.png

Correct. It is a multiple of each expression, and there are no extra factors. If you start with (x-4)(x+3), then look at (x-4)(x-4), you see that you need an extra (x-4), which produces your answer.

1659976511975.png

You may just have not read carefully. There is no (x+3) in your answer.

Try again, and try the checking method we've shown you: Does it have enough of each factor? Does it have only as many as it needs?
 
I asked you if your book has a definition of the LCM of polynomials, and I'd really like an answer to that question:



First, that will make sure you are actually reading and learning from the book, and not just jumping into the exercises, as some students do. Second, it will show me how your book states things.


Correct. It is a multiple of each expression, and there are no extra factors. If you start with (x-4)(x+3), then look at (x-4)(x-4), you see that you need an extra (x-4), which produces your answer.


You may just have not read carefully. There is no (x+3) in your answer.

Try again, and try the checking method we've shown you: Does it have enough of each factor? Does it have only as many as it needs?

1. I decided not to use the textbook. Instead, I found a website that appears to be user-friendly.
I will study college algebra using the following site:


What's your take on the website material?

2. I forgot to include (x + 3) as part of my answer for the LCM in that second question.
 
Watch my video at. It will explain a nice method for finding LCMs

1. I thank you for sharing your video. I surely will watch the entire clip and return here for future discussion.

2. Thank you for taking time out to lend a helping hand.
 
1. I decided not to use the textbook. Instead, I found a website that appears to be user-friendly.
I will study college algebra using the following site:


What's your take on the website material?

2. I forgot to include (x + 3) as part of my answer for the LCM in that second question.
So the reference to "College Algebra Chapter 1/Section 7" in the OP wasn't to a book whose definition of LCM you can look up? Or are you saying you've abandoned that book because it doesn't contain such information?

Where does the Math Is Fun site cover LCM? What definition does it give? If you can't find that, then it isn't user-friendly! I often recommend the site, but have never considered it as a substitute for a textbook; I'm not sure how orderly it is, or how many exercises is has for you to learn from.

I don't think you just forgot to include (x+3); it's a little more than that. Please show your corrected answer so we can be sure you really understand.
 
So the reference to "College Algebra Chapter 1/Section 7" in the OP wasn't to a book whose definition of LCM you can look up? Or are you saying you've abandoned that book because it doesn't contain such information?

Where does the Math Is Fun site cover LCM? What definition does it give? If you can't find that, then it isn't user-friendly! I often recommend the site, but have never considered it as a substitute for a textbook; I'm not sure how orderly it is, or how many exercises is has for you to learn from.

I don't think you just forgot to include (x+3); it's a little more than that. Please show your corrected answer so we can be sure you really understand.
1. I deleted the online free download of the college algebra textbook because I found a website that makes more sense to me than the textbook wording.

2. If you think a college algebra textbook is better than the mathisfun website, I can always go back to the textbook. I just want to learn the material correctly.

3. I say the correct answer 3(x - 3)(x + 3)(2x + 5).
 
Does the blot mean that you do or do not want an exponent there?
View attachment 33623

Now, how can you check your answer? What is the definition of LCM? Does this fit that definition?

The second problem looks good. But how would you check it?
Here is the book I will use:
 

Attachments

  • Screenshot_20220809-084424_Samsung Internet.jpg
    Screenshot_20220809-084424_Samsung Internet.jpg
    74.9 KB · Views: 3
Top