Find the radius of the circle!!

johnmcclean752

New member
Joined
Jul 11, 2021
Messages
1
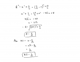
There is a circle which is internally tangent with a semicircle and two tangent lines of the circle are 3cm and 4cm, also the tangent lines intersect each other in the diameter of the semicircle. Find the radius of the circle!! (Please see the image)
64C2249B-DBA0-4DF1-ACEF-B468ADA65C45.jpeg
 
Hi, welcome to the forum.
This is a help forum where we help students solve their problem. What we never do here is solve problems for students as that will not be very helpful.
I suspect that you failed to read the posting guidelines for this forum. If you had, you would have received help by now. So please read the posting guidelines, make a post following those guidelines and you'll receive expert help.
 
Beautiful.
I think that covers this problem well!
I added in the original data: 3, 4 and 45º

1626421287426.png
 
Beer soaked comment follows.

I've always wanted to add that small 45° angle indicator at the vertices but I guess that feature of Desmos is not available for the phone app version; it's either that or I need to do more research.
 
Beer soaked comment follows.

I've always wanted to add that small 45° angle indicator at the vertices but I guess that feature of Desmos is not available for the phone app version; it's either that or I need to do more research.
Simply this:

1626440436646.png

with a label.
 
Top