Finding a constant in polynomial long division

thunc14

Junior Member
Joined
Nov 15, 2017
Messages
65
To be quite honest, I'm not sure where to begin. Factoring the denominator isn't helpful, and I'm not exactly sure what the setup would be. Totally lost.
 

Attachments

  • k constant polynomial division.png
    k constant polynomial division.png
    101.2 KB · Views: 16
To be quite honest, I'm not sure where to begin …
Hi thunc. We begin by completing the polynomial long-division because that's how we find the remainder. (If you're not familiar with dividing polynomials long-hand, you can google the topic for lessons and worked exercises.)

Here's a similar example, to explain what's intended by stating a constant remainder:

(3x^4 - kx^2 + x - 5) ÷ (x^2 - x + 1)

Polynomial long-division gives us the quotient and remainder.

Quotient: 3x^2 + 3x - k

Remainder: k - 5 - (k + 2)x


What does it mean to say that the remainder is constant? It means the remainder cannot contain the variable x (because different values of x would yield different remainders instead of a single value).

There's only one way the expression k - 5 - (k + 2)x can be constant, and that's if k+2 is zero. In other words, the coefficient on x must be zero (to rid the remainder of its variable term).

k + 2 = 0

Therefore, the remainder is constant when k is -2.

Follow the same reasoning, in your exercise. If you need more help, please show us the results of your polynomial long-division and the work you tried after that.

?
 
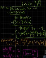
Thank you for the help. I arrived at the same answer for your example. For my problem, I divided it all out, and unless my arithmetic is wrong, I got that k should be (-37/9) to make x equal to zero for the remainder. That is not an answer choice, so perhaps I made an arithmetic error somewhere?
 

Attachments

  • Finding k.jpg
    Finding k.jpg
    560 KB · Views: 5
Where you wrote 4x is wrong. Please try again.
Also based on your result you should have k=26/9
 
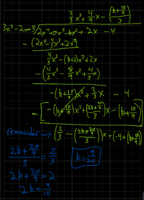
Oops, yes that should of course be (4/3)x. Now I'm getting k=9/20. Am I still doing anything incorrectly?
 

Attachments

  • K.png
    K.png
    376.9 KB · Views: 6
You failed to add the (2/3)X in the last subtraction.

Don't you remember how to check if a division is done correctly?
 
I messed up on the inputs into the calculator. 2-(20/9) = -(2/9), then dividing by 2 gets -(1/9), answer C
 
Top