Introduction
Hello, I am currently a student in Engineering Degree, and currently, I am stuck in this particular question regarding finding the radius of convergence using the ratio test... Any help is appreciated!
Question
Find the Radius of convergence:

My Attempt:


I am currently stuck here, as the answer is given is not the answer I found...
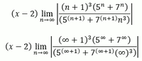
Hello, I am currently a student in Engineering Degree, and currently, I am stuck in this particular question regarding finding the radius of convergence using the ratio test... Any help is appreciated!
Question
Find the Radius of convergence:

My Attempt:


I am currently stuck here, as the answer is given is not the answer I found...
