Aminta_1900
New member
- Joined
- Sep 19, 2022
- Messages
- 38
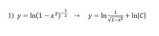
I'm approaching this subject for the first time and just need a few hints. I've been getting many questions wrong from what looks like using naive solutions, but the given answers seem to be using solutions I am not familiar with. I'm not sure why my textbook has all of a sudden assumed I should known them!
Here is an example of three questions, with my naive answer and, where they differ from mine, the answers given from symbolab (in blue) and the answers given at the back of my textbook (in red).

Can anyone see where i am generally going wrong, or perhaps show me how natural log and e have been produced in these answers? Many thanks.
Here is an example of three questions, with my naive answer and, where they differ from mine, the answers given from symbolab (in blue) and the answers given at the back of my textbook (in red).

Can anyone see where i am generally going wrong, or perhaps show me how natural log and e have been produced in these answers? Many thanks.


