eric beans
Junior Member
- Joined
- Sep 17, 2019
- Messages
- 72
for "at least" problems, why do you need to "1-(none)"?
Pardon the double negative but at least one means not none.for "at least" problems, why do you need to "1-(none)"?
You don’t. That is an error.for "at least" problems, why do you need to "1-(none)"?
i sort of get it but i still don't get it.Pardon the double negative but at least one means not none.
So It is not the case that there is not the absent of all of some of a particular thing.
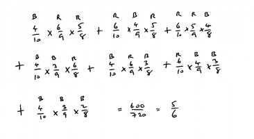
Example: An urn contains ten colored balls, four blue & six reds. Three are drawn at random.
What is the probability that at least one of the three is blue?
Well the probability that all are red is \(\dfrac{6}{10}\).
So \(1-\dfrac{6}{10}\) is the probability that not all red or at least one blue.

i'm trying to understand the logic here but i'm missing something and can't articulate it.You don’t. That is an error.
The correct formulation is probability of at least ONE = 1 - probability of none.
The probability of at least two = 1 minus the sum of the probabilities of exactly none and exactly one.
Get it now?
In pka's example, you are drawing three balls.Pardon the double negative but at least one means not none.
So It is not the case that there is not the absent of all of some of a particular thing.
Example: An urn contains ten colored balls, four blue & six reds. Three are drawn at random.
What is the probability that at least one of the three is blue?
Well the probability that all are red is \(\dfrac{6}{10}\).
So \(1-\dfrac{6}{10}\) is the probability that not all red or at least one blue.
