For which "t" does this system of equations have no solution?

shutakku

New member
Joined
Feb 13, 2021
Messages
3
Hello, I am not familiar with the correct mathematical terms in english, so please forgive me. I got the following equations:

1613249058104.png
The question is: for which t do those equations have
a) infinite solutions
b) no solution
c) one solution

I figured out a (t = 1) and c (t = everything else than 1 or b)), but I couldn't figure out, for which t I don't get any solution.
I multiplied out the matrix and the vector to the following:
1613249463853.png
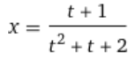
I found out, when I solve for any variable, I get:
1613249506077.png
I thought, where the denominator is zero, there would be no answer, but the denominator has no point where it's zero.
I know I got no answer, where I have something like 2=5, so simply untrue equations, but I couldn't find any.
Is there even some sort of procedure or algorithm to solve this kind of problem? Thanks in advance, this community is awesome
 
Please show us all of your work so we can see where you are making your mistake.

Just reduce ( A | I ) and show us what you get.
 
I can't show you my work, because I don't have any. Everything I did so far was just randomly inserting numbers, of which I thought would be 'special', like x,y or z itself. I also don't know what you mean by your recond phrase. What do you mean by reducing ( A | I )? Thanks
 
I can't show you my work, because I don't have any. Everything I did so far was just randomly inserting numbers, of which I thought would be 'special', like x,y or z itself. I also don't know what you mean by your recond phrase. What do you mean by reducing ( A | I )? Thanks
You must have some work - because you said:

I found out, when I solve for any variable, I get:
How did you solve for x, y and z, without doing any displayable work.
 
I can't show you my work, because I don't have any. Everything I did so far was just randomly inserting numbers, of which I thought would be 'special', like x,y or z itself. I also don't know what you mean by your recond phrase. What do you mean by reducing ( A | I )? Thanks
So get some work to display! Use matrices to solve Ax=b.
 
Hey I noticed a mistake in how you changed the matrix into a system of equations! On the last equation it looks like it should be +tz (you had a negative in there).

The other commentors are right though, this problem probably wants you to use knowledge of matrixes to solve it. For that you would add the vector (1,1,1,1) onto the right side of the matrix (so it now has 4 columns and 3 rows) and then do row reducing. If you have't done that before it is really hard to explain that on here. You can look up "Reduced row echelon form" to see examples of this if you want to try it. It is basically a way to combine the rows in a way that makes the numbers 0, a lot like what you would do if you were working to eliminate variables in the system by combining the equations. If you don't know how to reduce the matrix, just work to eliminate variables instead. For example I would combine the first two equations (and get rid of the x) by doing the following.
[MATH] tx+1y+1z=1 \\ -t*(x+ty+z)=-t*1 \\ => \\ tx+1y+1z=1 \\ -tx-t^2y-tz)=-t \\ => (addTheEquations) \\ (1-t^2)y+(1-t)z =1-t [/MATH]
You could then eliminate x entirely by combining the last two equations (from the beginning) then work to eliminate another variable to get down to one variable. Side note...It looks like you can reduce this by dividing by [MATH](1-t) [/MATH] but of course that doesn't always work ;). Please show some work of doing either the matrix reducing or eliminating variables. Find ALL variables. Good luck!
 
Last edited:
Thanks Amanda, that helped a lot. I don't know what it would be useful for, if I showed you all my bruteforce attempts of finding a number. Thanks to you, I figured out -2 now. Thank you a lot
 
Please let us decide if your attempts will help us help you. Some of the helpers have been here for a long while and are experts in seeing student's work and then knowing exactly what type of help they need.
 
Top