I get that the angle should be the other way around but I don't get how to find intercept points. Like why do I replace c with 1,2,3... When the line would be cutting into the negative part of the y line. Shouldn't I use - 1,-2,-3.. For c? And where do I stop with those valuesA chord of the parabola y^2 = 4x, which coincides with the Ox axis 45 degrees, would slope upwards to the right with a gradient of 1. Your chord is sloping downwards. The angle is measured anticlockwise from the positive x direction.
The equation of such lines would be y = x + c.
I can't really follow what you are doing or why you seem to be using the distance formula.
To investigate what is going on with the midpoint, you could try looking at y=x+1, then y=x+2, etc. Find the points of intersection and then the midpoint.
Or, if you are more confident, you could get straight into the general case using y= x + c.
Yeah i dont get it. How about using y=kx + c directlyYeah ok. Look at y=x-1 first. This will just help you see what is going on.
Find the pts of intersection of the line y=x-1 and the parabola y^2=4x. Solve simultaneously to find pts of intersection.
I think where you wrote "coincides" you should have "meets" or "intersects". And they are not talking about just one particular chord, but any chord at that angle. So we want to describe where the midpoints of all chords at a 45 degree angle are located.Determine the geometric locus of the middle of the chord of the parabola y ^ 2 = 4x, which coincides with the Ox axis at an angle of 45 degrees.
My idea was to use tan and to put the chord through F point. I attached that work, but It's probably useless.
How do I eliminate c? Or in my case n...I think where you wrote "coincides" you should have "meets" or "intersects". And they are not talking about just one particular chord, but any chord at that angle. So we want to describe where the midpoints of all chords at a 45 degree angle are located.
Consider any line with a slope of 1, say y = x - c. (You could use slope -1; the problem doesn't say, but they probably intend a positive slope.) This line will intersect the x-axis at x = c, which can be anywhere.
Find the intersections of this line with the curve y^2 = 4x, by solving the system of equations, keeping c as a parameter. You will get x and y in terms of c. If necessary, then eliminate c to get an equation involving only x and y.
You may be surprised at some point and think something went wrong, when in fact you have just finished early ...

I thought I should find the x-intercept because of this.This line will intersect the x-axis at x = c, which can be anywhere.
No, was just telling you what the x-intercept was, because you had initially put it at (1,0), and I wanted to emphasize that it varies. There is no reason to use it for anything.I thought I should find the x-intercept because of this.


No, was just telling you what the x-intercept was, because you had initially put it at (1,0), and I wanted to emphasize that it varies. There is no reason to use it for anything.
Have you made any progress?
You are given the red curve, and want to find the locus of C, the middle of any chord AB at a 45 degree slope:
View attachment 31400
Find A and B first. Where are they?
You're getting there. Good work on finding y (though you forgot to say that what you found was y!).Maybe this?
View attachment 31405
k=1, so you want to consider y=x+c. Yes. I wasn't sure if you could handle the algebra but your last few posts show that you can.Yeah i dont get it. How about using y=kx + c directly
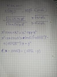
y=2 is the correct answer. Why can I dismiss what I got for x?You're getting there. Good work on finding y (though you forgot to say that what you found was y!).
There's a sign error in your work for x. But also, you could have found x more easily after finding y, using the fact that x = y - n.
Now, find the midpoint. That will be easy, because of those [imath]\pm[/imath] symbols!


This is where I said, "You may be surprised at some point and think something went wrong, when in fact you have just finished early ...".y=2 is the correct answer. Why can I dismiss what I got for x?
View attachment 31408
View attachment 31409
Got it! Thanks! As for my way of finding midpoints, it's basically (x1-x)This is where I said, "You may be surprised at some point and think something went wrong, when in fact you have just finished early ...".
You expressed x and y in terms of n, and normally the next thing would be to eliminate the parameter, n, because your final answer must be an equation in just x and y. But you've found that one of the equations, for y, is already independent of n, so that is the answer. The equation for x just tells you, in effect, that x can have any value, independent of y! That tells you nothing about the locus itself, only something about a specific point on it.
I'm not sure what you're doing with the big fractions. What I would have done is to find the midpoint as the average of the endpoints, so x is the sum of the two x-coordinates, which lets the radicals cancel out, divided by 2, and you are left with x = 2 - n; and y is found the same way, leaving only y = 2.
Here is a graph of the problem, in which I told GeoGebra to show me the locus of C:
One thing this reveals is that the answer isn't really the entire line y = 2, but just the part to the right of the parabola, because to the left, there is no chord! It takes a little more insight to realize that algebraically.