Geometric series

nanase

Junior Member
Joined
Aug 8, 2019
Messages
243
I have a challenging Geometric series question that I am stuck and need help with :
question.jpeg
I tried doing some workings but need help in figuring out the ratio, and forming the expression.
attempt.jpegPS: I realised the power in the brackets is wrong, it should be equal to n, but I am still stuck otherwise.
Thank you for any help
 
I gave 2 different attempts/approaches above, but I am stuck in how to obtain the expression
 
I have a challenging Geometric series question that I am stuck and need help with :
View attachment 34140
I tried doing some workings but need help in figuring out the ratio, and forming the expression.
View attachment 34141PS: I realised the power in the brackets is wrong, it should be equal to n, but I am still stuck otherwise.
Thank you for any help
Your second approach is correct, though you didn't apply it correctly. Each term is [imath]6 \cdot (1 + 10 + 100 + \dots )[/imath]. So we have
[imath]\displaystyle 6 \cdot \left ( \sum_{k = 1}^1 10^{k - 1} + \sum_{k = 1}^2 10^{k - 1} + \sum_{k = 1}^3 10^{k -1} + \dots \right )[/imath]

The problem you were having above is that the ratio in each term is 10. Not, 1, 10, 100, etc.

Can you finish?

-Dan
 
Your second approach is correct, though you didn't apply it correctly. Each term is [imath]6 \cdot (1 + 10 + 100 + \dots )[/imath]. So we have
[imath]\displaystyle 6 \cdot \left ( \sum_{k = 1}^1 10^{k - 1} + \sum_{k = 1}^2 10^{k - 1} + \sum_{k = 1}^3 10^{k -1} + \dots \right )[/imath]

The problem you were having above is that the ratio in each term is 10. Not, 1, 10, 100, etc.

Can you finish?

-Dan
is this like expression within an expression? I am thinking of including a Series expression for each term, but that is my confusion how can I create an expression if this goes to infinity?
 
is this like expression within an expression? I am thinking of including a Series expression for each term, but that is my confusion how can I create an expression if this goes to infinity?
6 + 66 + 666 + .. does go to infinity after an infinite number of terms. So you should expect that. But the question is asking about the sum of only n terms.

To write the full expression: The sum of the first n terms is
[imath]\displaystyle 6 + 66 + 666 + \dots = \sum_{j = 1}^n \left ( 6 \sum_{k = 1}^j 10^{k-1} \right )[/imath]

However, you need to be able to do each individual sum and that's where you were having a problem. How can you do one of these?

-Dan
 
6 + 66 + 666 + .. does go to infinity after an infinite number of terms. So you should expect that. But the question is asking about the sum of only n terms.

To write the full expression: The sum of the first n terms is
[imath]\displaystyle 6 + 66 + 666 + \dots = \sum_{j = 1}^n \left ( 6 \sum_{k = 1}^j 10^{k-1} \right )[/imath]

However, you need to be able to do each individual sum and that's where you were having a problem. How can you do one of these?

-Dan
Alternately:
[math]S_n = 6\left(\sum_{k=1}^{n} \frac{10^k-1}{9} \right)[/math]
 
I haven't learned Sigma notation so I am having a bit of problem in reading the notation.
I am self learning how to solve questions like this from a book. The answer key is [2(10^(n+1) - 10 - 9n)]/27
I have no means of checking whether that is correct, but I can read it if it is written in that form.
But can somebody help me how to obtain that expression?
 
workings.jpeg
I did further steps from the help, stuck in the concluding the expression
 
View attachment 34146
I did further steps from the help, stuck in the concluding the expression
Okay, first put things in standard form. The series [imath]1 + 10 + 100 + \dots[/imath] has a formula for each term [imath]10^{k -1} = \dfrac{1}{10} 10^k[/imath]. So [imath]a = \dfrac{1}{10}[/imath] and [imath]r = 10[/imath].

The formula for the sum is [imath]S = \dfrac{a(r^j - 1)}{r - 1}[/imath], where j is the number of terms in the sum What's S?

-Dan
 
ans.jpegHi Mr Dan,
sorry I got distracted with exam for past few days, but I am still very interested in solving this,
I am stuck in finding the ratio. Is it 10 ? I tried dividing the consecutive terms to find r but it turns out they are not the same?
In your previous post you put 10^k - 1, where is the position of that -1, next to the k? or next to 10^k.
I am dealing with series within series here, but I guess forming the expression is my biggest hurdle..
please help
 
View attachment 34248Hi Mr Dan,
sorry I got distracted with exam for past few days, but I am still very interested in solving this,
I am stuck in finding the ratio. Is it 10 ? I tried dividing the consecutive terms to find r but it turns out they are not the same?
In your previous post you put 10^k - 1, where is the position of that -1, next to the k? or next to 10^k.
I am dealing with series within series here, but I guess forming the expression is my biggest hurdle..
please help
Well, it would've helped if I had given you the correct formula! Sorry about that.

[imath]6 + 66 + 666 + \dots = 6(1 + 11 + 111 + \dots )[/imath]

Each term can be expressed as the sum of a series [imath]1 + 10 + 100 + \dots[/imath] which is a geometric series of j terms with a = 1/10 and r = 10. The sum of each will be
[imath]S_j = \dfrac{a r (r^j - 1)}{r - 1}[/imath] <-- Notice the extra r in there!

So
[imath]6 + 66 + 666 + \dots = 6 \left ( \dfrac{ \dfrac{1}{10} \cdot 10 ( 10^1 - 1 ) }{10 -1} + \dfrac{ \dfrac{1}{10} \cdot 10 ( 10^2 - 1 ) }{10 -1} + \dfrac{ \dfrac{1}{10} \cdot 10 ( 10^3 - 1 ) }{10 -1} + \dots \right )[/imath]

[imath]= \dfrac{6}{9} (9 + 99 + 999 + \dots )[/imath]

Now:
[imath]= \dfrac{6}{9} ((10 - 1) + (100 - 1) + (1000 - 1) + \dots )[/imath]

[imath] = \dfrac{6}{9} ( (10 + 100 + 1000 + \dots ) - (1 + 1 + 1 + \dots ) )[/imath] <-- we have n terms

[imath] = \dfrac{6}{9} \left ( \dfrac{ 10 (10^n - 1)}{10 - 1} - n \right )[/imath]

[imath]= \dfrac{60}{81} 10^n - \dfrac{60}{81} - \cdot \dfrac{6}{9} n[/imath]

So finally(!)
[imath]6 + 66 + 666 + \dots = \dfrac{6}{81} ( 10 \cdot 10^n - 10 - 9n)[/imath]

-Dan

Addendum: While I was working on this, I found a shortcut.
[imath]6 + 66 + 666 + \dots = 6 ( 1 + 11 + 111 + \dots ) = \dfrac{6}{9} \cdot 9 (1 + 11 + 111 + \dots ) = \dfrac{6}{9} (9 + 99 + 999 + \dots )[/imath]

and go from there.
 
View attachment 34248Hi Mr Dan,
sorry I got distracted with exam for past few days, but I am still very interested in solving this,
I am stuck in finding the ratio. Is it 10 ? I tried dividing the consecutive terms to find r but it turns out they are not the same?
In your previous post you put 10^k - 1, where is the position of that -1, next to the k? or next to 10^k.
I am dealing with series within series here, but I guess forming the expression is my biggest hurdle..
please help
Hi,

So I know you said you're not terribly familiar with summation notation but now would be a good time and it's not all that bad.

First we need to express the following expression using summation notation,

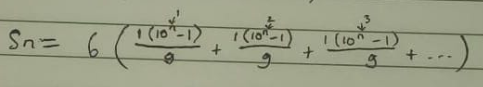
1664941438352.png

which as mentioned above would be,

[imath]S_n = 6\left(\sum_{k=1}^{n} \frac{10^k-1}{9} \right)[/imath]

Then we can take out the constants and distribute the summation over each term to give,

[imath][6\left(\sum_{k=1}^{n} \frac{10^k-1}{9} \right)= (6/9) \sum_{k=1}^{n} 10^k-(6/9) \sum_{k=1}^{n} 1=(6/9)\frac{10(10^n-1)}{9}-\frac{6n}{9}=\frac{60(10^n - 1)}{81}-\frac{18n}{27}[/imath]

Now, the expression you have has (n + 1) in the exponent so changing it from 'n' to 'n + 1' means multiplying by 10, so to compensate, we can do the same with the '1' by changing it to a '10' then divide the multiplier outside by 10 to give,

[imath]\frac{60(10^n - 1)}{81}-\frac{18n}{27}=\frac{6(10^{(n+1)} - 10)}{81}-\frac{18n}{27}[/imath]

Finally we can use 27 in the denominator and bring the 18n into the bracket that is being multiplied by 2 like this,

[imath]\frac{6(10^{(n+1)} - 10)}{81}-\frac{18n}{27}=\frac{2(10^{(n+1)} - 10)}{27}-\frac{18n}{27}=\frac{2(10^{(n+1)} - 10-9n)}{27}[/imath]

as required.
 
Ah Thank You Mr. Dan! the little algebra work where you take the -1 out and put them together made it easier for me to see how the next step is formed. Much Thank you and really appreciate the help! I fully understand it now.
 
I'm a bit confused regarding what the sequence is supposed to be. Is it correct to say that [imath]S_1 = 6[/imath], [imath]S_2 = 66[/imath] and so-on? And the problem is asking for a formula for the sum of all terms from [imath]S_1[/imath] through [imath]S_n[/imath] given some value for [imath]n[/imath]?

Assuming I interpret this correctly, my train of thought is as follows...

Each term in the sequence can be given with the following formula:

[imath]S_n = \frac{2}{3}(10^n-1)[/imath]​

This isn't actually in the form of a geometric series, as the terms are not separated by a common ratio. 6 to 66 is a ratio of 11, 66 to 666 is a ratio of [imath]10.\overline{09}[/imath], etc.

The running sum of terms is given with the following formula (given that [imath]\Sigma_0=0[/imath]):

[imath]\Sigma_n = \Sigma_{n-1} + S_n[/imath]​

This is a recurrence relation, and I never did learn how to work those out. Wolfram|Alpha tells me that:

[imath]\Sigma_n = \frac{20}{27}(10^n-1) - \frac{2n}3[/imath]​

This solves the problem as I understand it.

I'm interested to know how to resolve the formula properly--how to convert the recursive formula into something that is not recursive. I see this come up a lot in various contexts and it always flies over my head. In a pinch, I don't mind using Wolfram|Alpha for implementing solutions, but I like to know to do things "without a calculator" as it were. Any insights into this would be appreciated.
 
I'm a bit confused regarding what the sequence is supposed to be. Is it correct to say that [imath]S_1 = 6[/imath], [imath]S_2 = 66[/imath] and so-on? And the problem is asking for a formula for the sum of all terms from [imath]S_1[/imath] through [imath]S_n[/imath] given some value for [imath]n[/imath]?

Assuming I interpret this correctly, my train of thought is as follows...

Each term in the sequence can be given with the following formula:

[imath]S_n = \frac{2}{3}(10^n-1)[/imath]​

This isn't actually in the form of a geometric series, as the terms are not separated by a common ratio. 6 to 66 is a ratio of 11, 66 to 666 is a ratio of [imath]10.\overline{09}[/imath], etc.

The running sum of terms is given with the following formula (given that [imath]\Sigma_0=0[/imath]):

[imath]\Sigma_n = \Sigma_{n-1} + S_n[/imath]​

This is a recurrence relation, and I never did learn how to work those out. Wolfram|Alpha tells me that:

[imath]\Sigma_n = \frac{20}{27}(10^n-1) - \frac{2n}3[/imath]​

This solves the problem as I understand it.

I'm interested to know how to resolve the formula properly--how to convert the recursive formula into something that is not recursive. I see this come up a lot in various contexts and it always flies over my head. In a pinch, I don't mind using Wolfram|Alpha for implementing solutions, but I like to know to do things "without a calculator" as it were. Any insights into this would be appreciated.
If you know summation notation
[imath]6 + 66 + 666 + \dots = 6(1 + 11 + 111 + \dots )= 6 ( 1 + (1 + 10) + (1 + 10 + 100) + \dots )[/imath]

[imath]\displaystyle = 6 \sum_{j=1}^n \left ( \sum_{k = 1}^j 10^{k-1} \right )[/imath]

and you can apply the sum rules for a geometric series to that. This is the fastest and easiest way to do the problem if you know how to do it.

-Dan
 
Hi,

So I know you said you're not terribly familiar with summation notation but now would be a good time and it's not all that bad.

First we need to express the following expression using summation notation,

View attachment 34249

which as mentioned above would be,

[imath]S_n = 6\left(\sum_{k=1}^{n} \frac{10^k-1}{9} \right)[/imath]

Then we can take out the constants and distribute the summation over each term to give,

[imath][6\left(\sum_{k=1}^{n} \frac{10^k-1}{9} \right)= (6/9) \sum_{k=1}^{n} 10^k-(6/9) \sum_{k=1}^{n} 1=(6/9)\frac{10(10^n-1)}{9}-\frac{6n}{9}=\frac{60(10^n - 1)}{81}-\frac{18n}{27}[/imath]

Now, the expression you have has (n + 1) in the exponent so changing it from 'n' to 'n + 1' means multiplying by 10, so to compensate, we can do the same with the '1' by changing it to a '10' then divide the multiplier outside by 10 to give,

[imath]\frac{60(10^n - 1)}{81}-\frac{18n}{27}=\frac{6(10^{(n+1)} - 10)}{81}-\frac{18n}{27}[/imath]

Finally we can use 27 in the denominator and bring the 18n into the bracket that is being multiplied by 2 like this,

[imath]\frac{6(10^{(n+1)} - 10)}{81}-\frac{18n}{27}=\frac{2(10^{(n+1)} - 10)}{27}-\frac{18n}{27}=\frac{2(10^{(n+1)} - 10-9n)}{27}[/imath]

as required.
Just noticed this, thank you so much Dr Adam, this brings another light to my understanding. Appreciate it so much!
 
Top