Juri
New member
- Joined
- Nov 14, 2019
- Messages
- 27
Hello, I missed the discussion for this lecture in class and was hoping someone would be kind enough to help me understand the just graphing section! It’s funny how I am able to solve the problem but is confused with graphing...
Question: There is a fixed point F (1 , 0) and a fixed line L : x = - 1. Draw a perpendicular line PH from point P until the fixed line L, and find the trajectory of point P that would satisfy this.
Aim: If the eccentricity is √2, find the equation of the trajectory.
Solution: Let the coordinates of point P be (x , y) and express this using the coordinates PF = √2 PH.
Sample answer: If the coordinates of point P are (x , y), that would mean H (-1 , y) ---> PF = √(x - 1)^2 + y^2, PH = |x + 1|. If you substitute this conditional expression from PF = √2 PH, it will become √(x -1)^2 + y^2 = √2|x + 1|.
Square both sides and arrange it and it would then become x^2 - y^2 + 6x + 1 = 0.
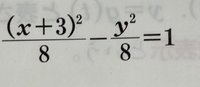
Therefore, (x + 3)^2 / 8 - y^2 / 8 = 1.
Therefore, the trajectory of the point is
Hyperbola = (x + 3)^2 / 8 - y^2 / 8 = 1


I’m confused because if you apply the rules in graphing a hyperbola, aren’t the vertices supposed to be + or - √8 since a^2 = 8 ; a = √8? I don’t understand how it became + or (-) -3+2√2... From that answer I can understand it is not equivalent to √8.
Thank you for your time.
Question: There is a fixed point F (1 , 0) and a fixed line L : x = - 1. Draw a perpendicular line PH from point P until the fixed line L, and find the trajectory of point P that would satisfy this.
Aim: If the eccentricity is √2, find the equation of the trajectory.
Solution: Let the coordinates of point P be (x , y) and express this using the coordinates PF = √2 PH.
Sample answer: If the coordinates of point P are (x , y), that would mean H (-1 , y) ---> PF = √(x - 1)^2 + y^2, PH = |x + 1|. If you substitute this conditional expression from PF = √2 PH, it will become √(x -1)^2 + y^2 = √2|x + 1|.
Square both sides and arrange it and it would then become x^2 - y^2 + 6x + 1 = 0.
Therefore, (x + 3)^2 / 8 - y^2 / 8 = 1.
Therefore, the trajectory of the point is
Hyperbola = (x + 3)^2 / 8 - y^2 / 8 = 1


I’m confused because if you apply the rules in graphing a hyperbola, aren’t the vertices supposed to be + or - √8 since a^2 = 8 ; a = √8? I don’t understand how it became + or (-) -3+2√2... From that answer I can understand it is not equivalent to √8.
Thank you for your time.