Half-angle Identity

ukumure

New member
Joined
Jan 11, 2021
Messages
15
The exact value of sin 15 degrees using the half-angle identity.

This is my solution:
2.png

The given answer on the book:
3.png

My solution is different from the given answer.
Can anyone enlighten me on what mistake I put in my solution? Are they just equal or not? Thank you so much!
 
Last edited:
Well, you can always check with a calculator. I don't see a clear direct way of proving they are equal, but you can suppose they aren't equal, multiply both sides by 4, square them... And reach a contradiction
 
The exact value of sin 15 degrees using the half-angle identity.

This is my solution:
View attachment 24808

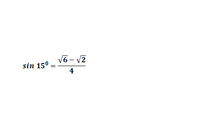
The given answer on the book:
View attachment 24805

My solution is different from the given answer.
Can anyone enlighten me on what mistake I put in my solution? Are they just equal or not? Thank you so much!
For me, your answer and the given answer are both identity and both have a decimal of 0.25881904... I guess, whichever answer you'd choose, it's the same...
 
The exact value of sin 15 degrees using the half-angle identity.

This is my solution:
View attachment 24808

The given answer on the book:
View attachment 24805

My solution is different from the given answer.
Can anyone enlighten me on what mistake I put in my solution? Are they just equal or not? Thank you so much!
First, you need to choose one sign for your answer; it will be positive, since the angle is in the first quadrant.

In addition to using a calculator as a quick check to see if the answers agree, you can square both expressions, and see that both are equal to \(\frac{2-\sqrt{3}}{4}\). Since both your (refined) answer and theirs are positive, they are equal.

What I can't figure out is why they gave a form that would not be obtained by the method they required. What they show is what you can get by an angle difference formula. I suspect they cheated.
 
First, you need to choose one sign for your answer; it will be positive, since the angle is in the first quadrant.

In addition to using a calculator as a quick check to see if the answers agree, you can square both expressions, and see that both are equal to \(\frac{2-\sqrt{3}}{4}\). Since both your (refined) answer and theirs are positive, they are equal.

What I can't figure out is why they gave a form that would not be obtained by the method they required. What they show is what you can get by an angle difference formula. I suspect they cheated.
Thank you so much! This help me a lot :)
 
Top