Help convert answer from Theta to x (TRIG SUB)

windbreakerkid

New member
Joined
Feb 15, 2022
Messages
1
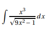
1644979789059.png
Please, help convert answer in terms of X and if you see anything wrong please let me know :) thank you
 

Attachments

  • C-min.png
    C-min.png
    7.5 MB · Views: 10
Last edited:
I briefly looked at your work. Are you required to use trig-sub? The problem can be done with ordinary u-sub.
Let [imath]u=9x^2-1[/imath].


Anyways, to find [imath]\tan(\theta)[/imath]:
[math]\sec(\theta)=\frac{1}{\cos(\theta)}=\frac{\text{Hypotenuse}}{\text{Adjacent}}=\frac{3x}{1}[/math]Then, the opposite side is [imath]\sqrt{(3x)^2-1^2}=\sqrt{9x^2-1}[/imath]
Then, [math]\tan(\theta)=\frac{\text{opposite}}{\text{adjacent}}=\frac{\sqrt{9x^2-1}}{1}=\sqrt{9x^2-1}[/math]
 
Last edited:
Just to add, the problem can be done very easily by parts:
[math]\int_{ }^{} {x^2 \cdot \dfrac{x}{\sqrt{9x^2-1}}\,dx}[/math]
yes - but OP started with trig. substitution - so continuing with trig is advisable to reduce Khan-fusi on!!

By the way. I would have started with trig too! The form of the OP is too inviting!!
 
You have the wrong expression for dx
How did d(theta) suddenly appear out of nowhere? Is it by some magic?
You needed to square 3x: You know that 3x = sec(theta)--you wrote that somewhere on your page! So square both sides and get (3x)^2 = sec^2(theta). You instead said that 3x=9[((1/3)sec(theta))]^2 which while correct is a bit messy.
I would not let u = asec(theta) and u= tan(theta). If you want to use two substitutions that is perfectly fine. Just use different letters for the two u-subs--like u and v.
 
Top