physicsluver
New member
- Joined
- Oct 18, 2020
- Messages
- 1
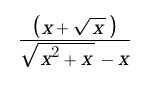
I am trying to find the limit of f(x) as x approaches to 0,
this is an undefined limit that I have to solve using the definition of derivative f'(x).
I have tried to put g(x)=x+√x
and to put h(x)=√(x²+x) - x
but I ended up with another undefined limit:
g'(x)=1+(1/2*√x) which gave me 1(1/0) as x approaches to 0, which equals to infinity.
and
h'(x)=(2x+1)/(2√x²+x) then h'(x)=(1+1/2x)/(1+1/x) which gave me an infinity/infinity as x approaches to 0.

ps/ excuse my English. I'm not a native speaker.
this is an undefined limit that I have to solve using the definition of derivative f'(x).
I have tried to put g(x)=x+√x
and to put h(x)=√(x²+x) - x
but I ended up with another undefined limit:
g'(x)=1+(1/2*√x) which gave me 1(1/0) as x approaches to 0, which equals to infinity.
and
h'(x)=(2x+1)/(2√x²+x) then h'(x)=(1+1/2x)/(1+1/x) which gave me an infinity/infinity as x approaches to 0.

ps/ excuse my English. I'm not a native speaker.