I'm instructed to prove the following identity:

However, I'm unsure how to prove this arithmetically.
I was given advice by my teacher to let the left hand side equal to S, then multiply both sides of the equation by two and distribute the two on the left hand side then go from there:

Ultimately, I was told that I should be able to get:
S = 2^(n+1) - 2^(n-k)
to which I've had no success in getting there so far.
What steps should I be taking to get to the desired answer?
I've attached a picture of my work below (you can see I'm just doing a bunch of arithmetic and getting nowhere):

This question has been gnawing at my head for the past hour and a half, making me question if it's even possible with this approach. I'm probably completely overlooking something or I'm doing something completely wrong which is why I've come to this forum to help me identify the issue.

However, I'm unsure how to prove this arithmetically.
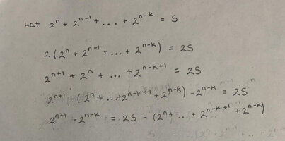
I was given advice by my teacher to let the left hand side equal to S, then multiply both sides of the equation by two and distribute the two on the left hand side then go from there:

Ultimately, I was told that I should be able to get:
S = 2^(n+1) - 2^(n-k)
to which I've had no success in getting there so far.
What steps should I be taking to get to the desired answer?
I've attached a picture of my work below (you can see I'm just doing a bunch of arithmetic and getting nowhere):

This question has been gnawing at my head for the past hour and a half, making me question if it's even possible with this approach. I'm probably completely overlooking something or I'm doing something completely wrong which is why I've come to this forum to help me identify the issue.