Help with initial value problem

ectab

New member
Joined
Jan 24, 2021
Messages
11
I have got this problem:

بدون عنوان.jpg

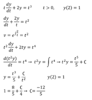
My solution:

pko.png

Is it right?
 
Last edited:
What is the derivative of [math]y = \dfrac{t^3}{5} - \dfrac{12}{5t^2}[/math]?

-Dan
 
Topsquark's point is that you can check your solution yourself.

Yes, the derivative of \(\displaystyle y= \frac{t^3}{5}- \frac{12}{5t^2}\) is \(\displaystyle \frac{dy}{dt}= \frac{3t^2}{5}- \frac{24}{5t^2}\).

Now, the differential equation was \(\displaystyle t\frac{dy}{dt}+ 2y= t^3\).

What do you get when you put that derivative into that equation?
 
What do you get when you put that derivative into that equation?
You mean like this:

[MATH]t(\frac{3t^2}{5}+\frac{24}{5t^2})+2y=t^3[/MATH]
and with [MATH]y(2)=1[/MATH] we get:

[MATH](2)(\frac{3(2)^2}{5}+\frac{24}{5(2)^2})+2(1)=(2)^3=\frac{36}{5}+2=8=9.2=8[/MATH]
Which makes wrong!
 
You mean like this:

[MATH]t(\frac{3t^2}{5}+\frac{24}{5t^2})+2y=t^3[/MATH]
and with [MATH]y(2)=1[/MATH] we get:
But y(t) is NOT 1. You cannot replace y by1, you have to replace it by its formula in terms of x.

[MATH](2)(\frac{3(2)^2}{5}+\frac{24}{5(2)^2})+2(1)=(2)^3=\frac{36}{5}+2=8=9.2=8[/MATH]
Which makes wrong!
 
But y(t) is NOT 1. You cannot replace y by1, you have to replace it by its formula in terms of x.

[MATH](2)(\frac{3(2)^2}{5}+\frac{24}{5(2)^2})+2(\frac{(2)^3}{5}-\frac{12}{5(2)^2})=(2)^3[/MATH]
[MATH]\frac{36}{5}+2(1)=8[/MATH]
[MATH]9.2=8[/MATH]
So that gives us the same result!
 
Top