Help with summation and combination

Myst

New member
Joined
Jul 22, 2020
Messages
3
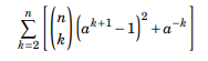
Hello, I am trying to figure out how to solve this summation with combination in terms of a and n considering that a E R - (0,1)

FireShot Capture 034 -  - .png
 
Hello, I am trying to figure out how to solve this summation with combination in terms of a and n considering that a E R - (0,1)

View attachment 20594
We'll need to combine this thread with your later one.

I have three questions:

Where you wrote "a E R - (0,1)", did you mean [MATH]a\in\mathbb{R}-(0,1)[/MATH], or perhaps [MATH]a\in\mathbb{R}-\{0,1\}[/MATH], which makes more sense?

Is this the exact image you were given? It would seem more reasonable to me, at first glance, if [MATH]\binom{n}{k}[/MATH] were outside the brackets.

Have you recently learned the binomial formula?
 
Top