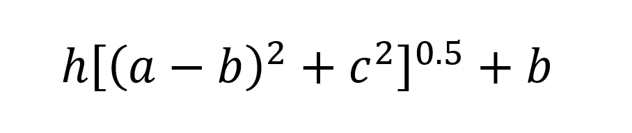
How do i go about finding the roots from this equation

Ramsay21

New member
Joined
Mar 23, 2021
Messages
3
sbip.PNG
I have started by taking the derivative for the equation with respect to b and setting it to zero in order to find the roots (or at least one of them) since I've already calculated the values of (h, a, and c), however, I'm getting an error I put in the numbers
 
View attachment 28391
I have started by taking the derivative for the equation with respect to b and setting it to zero in order to find the roots (or at least one of them) since I've already calculated the values of (h, a, and c), however, I'm getting an error I put in the numbers
Your post does not make sense to me. In mathematics you calculate the roots of function w.r.t. the variable/s of the function.

Can you post an exact image of your assignment?
 
You do not have an equation in sight. Is h supposed to be a function? If so, what is that function. Or is h a variable? In any case, what is the relevance of a partial derivative’s roots to the problem of finding something’s roots?
 
The derivative of \(\displaystyle h[(a- b)^2+ c^2]^{0.5}+ b\) with respect to b is
\(\displaystyle 0.5h[(a- b)^2+ c^2]^{-0.5}(-2(a- b))+ 1\).
 
Top