L lasvegas666 New member Joined Mar 1, 2024 Messages 32 Apr 11, 2024 #1 How do I perform this logarithmic integral? Last edited by a moderator: Jun 4, 2024
M mario99 Full Member Joined Aug 19, 2020 Messages 872 May 10, 2024 #2 Use integration by parts. hint: [imath]\displaystyle \int u \ dv = uv - \int v \ du[/imath]
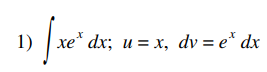
K khansaheb Senior Member Joined Apr 6, 2023 Messages 1,266 May 10, 2024 #3 lasvegas666 said: View attachment 37648 Click to expand... Have you used the "hints" provided in the problem statement (u = x and dv = e^x dx) ! What did you get? Did you follow the advice provided in response #2? Please show us what you have tried and exactly where you are stuck. Please follow the rules of posting in this forum, as enunciated at: READ BEFORE POSTING Please share your work/thoughts about this problem
lasvegas666 said: View attachment 37648 Click to expand... Have you used the "hints" provided in the problem statement (u = x and dv = e^x dx) ! What did you get? Did you follow the advice provided in response #2? Please show us what you have tried and exactly where you are stuck. Please follow the rules of posting in this forum, as enunciated at: READ BEFORE POSTING Please share your work/thoughts about this problem