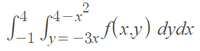
How to change order of integration in a double integral?

Could you help? is it a wrong question
View attachment 18417
Please show us what you have tried and exactly where you are stuck.

Please follow the rules of posting in this forum, as enunciated at:

https://www.freemathhelp.com/forum/threads/read-before-posting.109846/#post-486520

Please share your work/thoughts about this assignment.

If I were to do this problem:

The limits need to be changed. Thus I would plot y = -3x and y = 4-x2 to decide on new limits.
 

Attachments

  • 1588506541687.png
    1588506541687.png
    5 KB · Views: 0
is that correct until last step? i didn't continue this step.
 

Attachments

  • ben.png
    ben.png
    98.2 KB · Views: 2
The first thing I would do is graph the equations. The lower boundary, y= -3x, is a straight line through the origin with slope -3, the upper boundary, y= 4- x^2, is a parabola with vertex at (0, 4) opening downward. The second thing I would do is determine the coordinates of the points where those boundaries intersect. y= -3x= 4- x^2 gives x^2- 3x- 4= 0. That factors easily as (x- 4)(x+ 1)= 0 so they intersect at (-1, 3) and (4, -12).

Further I see that if I were to draw horizontal lines across that region, corresponding to different values of y, the left and right end points, the limits on the x integrals, change. For y less than or equal to 3, the left end point is on the line y= -3x. For y greater than or equal to 3, the left endpoint is on the left side of the parabola y= 4- x^2. That tells me that I have to break the integral into two parts, one for y from -12 to 3 and the other for y from 3 to 4.

The line y= -3x "inverts" to x= -y/3. The parabola y= 4- x^2 doesn't have a true "inverse". x^2= 4- y so x= (4- y)^(1/2), the right branch, or x= -(4- y)^(1/2), the left branch.

Reversing the order of integration we need to break this into two separate double integrals:
\(\displaystyle \int_{y= -12}^3 \int_{x= -y/3}^{\sqrt{4- y}} f(x,y) dxdy+ \int_{y= 3}^4\int_{x= -\sqrt{4- y}}^{\sqrt{4- y}} f(x,y) dxdy\).
 
Thanks for taking the time to help me.
Did I draw the graph correct? I tried to calculate area but i couldn't do it.
Could you help me?

area.png
 
Did I draw the graph correct? I tried to calculate area but i couldn't do it.
Could you help me?

Your graph is correct, well done!

HallsofIvy has provided the answer, which I think is correct. I just wanted to post an image to show how the original, and reversed, integrals proceed within the area. Please post back if you're confused by any of this.

reversal.png
 
Just look at the (horizontal) strips which Cubist drew for you. Is it true that over the entire region that one curve is always above the other curve (yes, a line is a curve). If not then you will need to sum up two or more integrals.
 
Top