How to restate an equation in a different form & derivation?

Bill_MD

New member
Joined
Apr 1, 2021
Messages
2
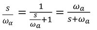
I came across this equation and can't figure out how the final term was derived. Can anyone provide the sequence of steps to explain the left to right restatement of this relationship? The equation is in the following image. I would appreciate understanding how this was done. Thank you.
Math Equation.jpg
 

Attachments

  • Math Equation.jpg
    Math Equation.jpg
    16.1 KB · Views: 1
I came across this equation and can't figure out how the final term was derived. Can anyone provide the sequence of steps to explain the left to right restatement of this relationship? The equation is in the following image. I would appreciate understanding how this was done. Thank you.
View attachment 26109
The last two expressions are equal; you obtain the last by multiplying numerator and denominator of the preceding form by \(\omega_a\).

But the first expression is not equal to the others, or to s as claimed in the attachment.

Where did you get this? Please show context.
 
The last two expressions are equal as stated by Dr Peterson.

Going from the 2nd to the 3rd. The numerator went from 1 to w. You multiply 1 by what to get w. Then multiply both the numerator and denominator by *what*

Going from the 3rd to the 2nd. The numerator went from w to 1. What do you multiply (or divide) w by to get 1. Then multiply (divide) the numerator and denominator by *what*
 
I think both answers have helped me immensely. I was working from a poorly transcribed version of the expression so I went back to the original textbook source to see where it came from. The attached image is the entire context of the expression. It is from a signal processing book on a chapter about infinite impulse response filter design.
Math Equation.jpg
I understand the second two terms now. I think I was confused by the previous part which was showing substitution and I wasn't making the connection. Comments?
 
Starting with the wrong equation doesn't help much in understanding, does it?

If you have further questions, you'll have to show the definitions of the functions \(H\) and \(H_P\). They appear to be using the same variable \(s\) with two definitions, which is confusing! But I think we answered your original question.
 
Top