How to solve -♾+♾

All you can conclude is that the integral does not converge. :)
 
Is it my calculation was wrong? Since the final answer is -♾️+♾️
Your calculation is incomplete, since [MATH]-\infty + \infty[/MATH] is indeterminate. You need to rearrange before taking the limit, in order to determine whether there is a limit.

It does turn out, though, that there is no limit.

On the other hand, the integral is odd; have you graphed the integrand? I would check to make sure you copied it correctly. And while you are doing that, please copy the entire problem, as given to you, so we can be sure what is expected. Do you have reason to think the integral should converge, or does the wording allow for divergence? Was this part of a larger problem?
 
Your calculation is incomplete, since [MATH]-\infty + \infty[/MATH] is indeterminate. You need to rearrange before taking the limit, in order to determine whether there is a limit.

It does turn out, though, that there is no limit.

On the other hand, the integral is odd; have you graphed the integrand? I would check to make sure you copied it correctly. And while you are doing that, please copy the entire problem, as given to you, so we can be sure what is expected. Do you have reason to think the integral should converge, or does the wording allow for divergence? Was this part of a larger problem?
So you means I should arrange it to ♾-♾?
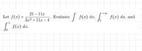
Indeed, the question just ask me to evaluate it, and divergence and converge these term does not mentioned in my course8E5A0375-AEDD-4D89-BCB6-5B911CC838A5.jpeg
 
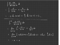
You do have a slight error. It should be +5ln(5) not -5ln(5)

Combine the two logs and then take the limit, as Dr Peterson suggested
 
\(\displaystyle \infty\) and \(\displaystyle -\infty\) are not "real numbers" and you cannot do arithmetic with them.
\(\displaystyle -5 ln(b+ 4)+ \frac{4}{3} ln(3b- 1)= -ln((b+4)^5+ ln((3b-1)^{4/3}= ln\left(\frac{(3b-1)^{4/3}}{(b+4)^5}\right)\).

Since logarithm is a continuous function, the limit of that, if it exists, is the logarithm of the limit of \(\displaystyle \frac{(3b-1)^{4/3}}{(b+4)^5}\) if it exists. Since the denominator has a higher power of b, as b goes to infinity, that goes to 0. But ln(0) is undefined.
 
Indeed, the question just ask me to evaluate it, and divergence and converge these term does not mentioned in my courseView attachment 15215
If they have never talked about convergence (what sort of course is this?), then I can only guess that they want you to answer, [MATH]-\infty[/MATH]. What has been taught about that?
 
\(\displaystyle \infty\) and \(\displaystyle -\infty\) are not "real numbers" and you cannot do arithmetic with them.
\(\displaystyle -5 ln(b+ 4)+ \frac{4}{3} ln(3b- 1)= -ln((b+4)^5+ ln((3b-1)^{4/3}= ln\left(\frac{(3b-1)^{4/3}}{(b+4)^5}\right)\).

Since logarithm is a continuous function, the limit of that, if it exists, is the logarithm of the limit of \(\displaystyle \frac{(3b-1)^{4/3}}{(b+4)^5}\) if it exists. Since the denominator has a higher power of b, as b goes to infinity, that goes to 0. But ln(0) is undefined.
Thx
 
If they have never talked about convergence (what sort of course is this?), then I can only guess that they want you to answer, [MATH]-\infty[/MATH]. What has been taught about that?
My course is a university math course in year 1. And the course just have taught about the improper integration, but not mentioned convergence and divergence these two-term
 
What do they do with improper integrals that do not have finite values? What do they say instead of "diverges"?
 
Top