Kulla_9289
Junior Member
- Joined
- Apr 18, 2022
- Messages
- 237
i dont understand. pls could you break it down?
From you posts I can't figure out what you understand and what you don't. Which means that short of posting a whole lecture or duplicating Wikipedia pages I don't know how to help you. Have you looked at the Wikipedia page I linked in an earlier post? Do you have questions about it? Also:i dont understand. pls could you break it down?
YesCan you write a formula for a geometric progression with the first member
Sum of a part of a series
- Do you understand what a partial sum is?
I dont understand thisCan you see how partial sums look for r=±1r=\pm 1r=±1 ?
This wasn't meant as a yes-or-no question. Please start by posting the formula so we have something to discuss.
Again, can you please write this up as a math formula.Sum of a part of a series
And without getting more detailed answers it is difficult for me to understand what you don't understand.I dont understand this
r = 4(cos^2(3theta))/3. I found the angles as pi/18, 11pi/18, 5pi/18, 7pi/18. I am stuck here.

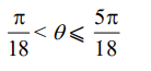
the solution given is this: I dont understand how they got lesser than or equal to sign and thet

pi/18 < r < 5pi/18
My interpretation is that the partial sums' limit is infinity, i.e. they are not limited by any finite value. For [imath]r=-1[/imath] the partial sums do not converge, but their absolute value remains limited.I am not sure of the interpretation of the problem (what does "has a sum to infinity" mean?).
But if their answer is as shown, the reality is that |r| < 1 for pi/18 < theta < 5pi/18, so in the interior of their interval, the series will converge, not go to infinity! And if you take the problem as you do, at both endpoints, r is 1, not -1 (since the cosine is squared), so the partial sum still go to infinity, and there is no reason for < vs <=. Their answer seems to be wrong no matter how we interpret it.My interpretation is that the partial sums' limit is infinity, i.e. they are not limited by any finite value. For [imath]r=-1[/imath] the partial sums do not converge, but their absolute value remains limited.
Ouch! Paying attention has never been my forter is 1, not -1 (since the cosine is squared),
Less confused than I amI'm just confused.