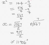
Here is the real world scenario. I am going to haul an 8 foot diameter by 27 foot long water tank on my trailer. I would like to screw several 2x4's to the trailer deck o either side of centerline so that when the tank is lowered on to the trailer it will roll slightly to the exact center.
So the math question is how far from 6 o'clock (where the bottom of the tank is touching the trailer deck) will the tank be 1-1/2" off the trailer deck?
So the math question is how far from 6 o'clock (where the bottom of the tank is touching the trailer deck) will the tank be 1-1/2" off the trailer deck?


