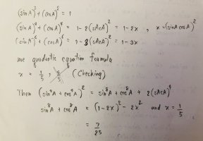
If (sin A)^10 + (cos A)^10 = 1/5 find (sin A)^8 + (cos A)^8

Top