I'm stuck on these equation, help...

Bilguuncv

New member
Joined
Jul 15, 2021
Messages
1
1626326771350.png

It seems I have to simplify them by replacing x with t but I just simply cannot do that. Do I have to divide all of them with 7x^2/30x^2-?
Thanks for noticing
 
What are you trying to do here? You have two equations and seem to be asking how to solve them simultaneously but you only have one variable. It looks more like two separate problems.

And what is t?

-Dan
 
View attachment 28261

It seems I have to simplify them by replacing x with t but I just simply cannot do that. Do I have to divide all of them with 7x^2/30x^2-?
Thanks for noticing
I'm not sure what you are saying. First, are you trying to treat them as a system of equations (in only one variable)? They are two separate equations, each of which, in principle, has four solutions.

Second, replacing x with t does nothing; did you mean replacing with some expression in t?

Third, why do you think you should divide both equations by the same thing?

Solving a quartic equation is difficult in general. What methods have you learned for solving polynomial equations? And what is the context of the problem(s)?
 
Hey, I recognize the left-hand side of the first equation. A student once showed me a foreign text containing different root-finding methods for certain higher-order polynomials. They were not general-solution methods; they work only when the polynomial or its factorization has an appropriate form.

I've assumed that the OP has two different exercises in the same thread (maybe because the solution methods are similar).

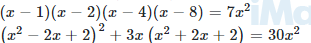
[imath](x-1)(x-2)(x-4)(x-8) = 7x^2[/imath]

I think the approach is to recognize that we can get (on the left-hand side) two quadratic factors of the form:

[imath]x^2 + 8 + Bx[/imath]

Rearrange and group the given linear factors.

[imath][(x-1)(x-8)]*[(x-2)(x-4)] = 7x^2[/imath]

[imath](x^2 + 8 - 9x)(x^2 + 8 - 6x) = 7x^2[/imath]

On the left-hand side, divide each quadratic factor by [imath]x[/imath]. Divide the right-hand side by [imath]x^2[/imath].

[imath](x + \frac{8}{x} - 9)(x + \frac{8}{x} - 6) = 7[/imath]

Substitute [imath]t = x + \frac{8}{x}[/imath] and solve for [imath]t[/imath] using the Quadratic Formula.

[imath](t - 9)(t - 6) = 7[/imath]

[imath]t^2 - 15t + 47 = 0[/imath]

[imath]t = \frac{15 ± \sqrt{37}}{2}[/imath]

Using the first t-solution [imath]\frac{15 + \sqrt{37}}{2}[/imath], we have

[imath]x + \frac{8}{x} = \frac{15 + \sqrt{37}}{2}[/imath]

Clear the ratios.

[imath]2x^2 - (15 + \sqrt{37})x + 16 = 0[/imath]

Using the Quadratic Formula again, yields two Real solutions.

Repeat the last three steps, using the second t-solution. That yields two Complex conjugates.

Maybe there's another special method (rearranging, then using a substitution) for working the second equation, also.

?
 
I forgot to mention an important step, near the beginning. In algebra, before we divide anything by an unknown number (like x), we need to know or check that it's not zero. If we're unable to do that, then we need to proceed by taking cases.

In the op, it's easy to see (by inspection) that x=0 is not a solution to either of the given equations, so we won't be dividing by zero when we divide by x or x^2.

?
 
I hadn't seen this method before.
Thinking about it:

[imath]x^4+bx^3+cx^2+dx+e=0 \hspace4ex e≠0[/imath]
If [imath]\left(\tfrac{d}{b}\right)^2=e \hspace4ex[/imath] then writing [imath]k=\tfrac{d}{b}[/imath]

[imath]\hspace5ex x^4+bx^3+cx^2+dx+e=0 \hspace4ex[/imath]
[imath]\leftrightarrow \hspace2ex u^2+\,bu\;+\,c\;=2k \hspace2ex[/imath] where [imath]\hspace3ex \boxed{\;u=x+\tfrac{k}{x}\;}[/imath]

e.g. [imath]\hspace1ex x^4+3x^3-12x^2-21x+49=0 \hspace3ex k=\tfrac{-21}{3}=-7 \hspace3ex 49=(-7)^2[/imath]

[imath]\hspace4ex u^2\,+3u\;-\;12=-14 \hspace6ex u=x-\tfrac{7}{x}[/imath]

Solve for [imath]u[/imath] and then set [imath]\hspace2ex x-\tfrac{7}{x}[/imath] = solutions, and solve for [imath]x[/imath].
 
… Thinking about it …
That's what I had to do, heh. I'd remembered seeing the pattern (x±1)(x±2)(x±4)(x±8) and knew to associate (1)(8) and (2)(4), but I had to think awhile about what to do next.

I tend to forget many specialized methods; I suppose they don't come up often enough. Like, I always remember formula x=-b/(2a), but I often have to derive the corresponding formula (when I need it) y=c-b^2/(4a).

The thrill of rediscovery. What it lacks in rush, I make up for in volume.

:rolleyes:
 
  • Like
Reactions: lex
Top