Inequalities

Dudeconomics

New member
Joined
Apr 11, 2020
Messages
2
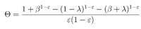
Hi folks! I'm struggling to prove the following inequality: theta>0 such that
Image_1586588981.jpg
With restrictions beta>1 and 0<lambda<1. Epsilon is a real-valued parameter. So far I've tried a lot of manipulations, including using the Bernoulli's inequality. I've tried data simulation using several values for the parameters, and all simulations indicated theta>0. Any hint? Thanks!
 
Hi tkhunny! Using Bernoulli's inequality I got that the upper part of the fraction is greater then -(1-epsilon)(beta -1) for 0<epsilon<1, which is a negative number. So it doesn't help.
I consider the binomial expansional, but I'm interested in this problem when epsilon is a real number (especialy 0<1-epsilon<1) and not only positive integers, so I don't think that the binomial expansion can help me either. Am I wrong in this case? Any other hint or known inequality that I can use to solve it? Thanks
 
Ah! Didn't see that you mentioned Bernoulli in the first post. Sorry about that. That's pretty much just the first two terms of the Binomial Expansion.
 
Top