What did you do to try to find the limits on r? I assume you graphed the region.
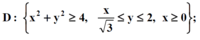
It seems fairly self-explanatory: The region extends outward from the circle [MATH]x^2 + y^2 = 4[/MATH], which is [MATH]r = 2[/MATH], to the line [MATH]y = 2[/MATH], which is [MATH]r\sin\theta = 2[/MATH], or [MATH]r = \frac{2}{\sin\theta}[/MATH].