Integral problem, faculty degree

mikihami666

New member
Joined
Aug 10, 2022
Messages
1
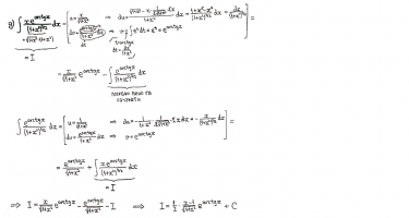
Does anyone know how to solve this integral:
Divide[Exp[ArcTan[x]],Power[\(40)1+Power[x,2]\(41),Divide[3,2]]] dx
The picture provided shows only the first part, partial integration but the second half when teacher uses "I" doesnt even make sence, can someone explain?
Untitled.png
 
Does anyone know how to solve this integral:
Divide[Exp[ArcTan[x]],Power[\(40)1+Power[x,2]\(41),Divide[3,2]]] dx
The picture provided shows only the first part, partial integration but the second half when teacher uses "I" doesnt even make sence, can someone explain?
View attachment 33663
This is an example of a technique sometimes described as "looping", where applying integration by parts twice brings you back to the original integral. By giving that a name (commonly I), you end up with an equation to solve.

Example 8 here is a simpler example of the same technique, where the integral is simple enough that they didn't have to call it I:

Here is another explanation of the same thing:
 
Your teacher just gave that integral a name, namely I.
Why did your teacher do that? Just to make notation easier as your teacher wanted to combine the integrals that are the same. If you choose, you can not use I and write out the entire integral.
 
Top