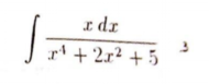
I've done Integral on the function but my final answer should be twice as big (should be 1/4 and not 1/8 at the at end)
I'm trying to find my mistake for hours.. any help ?
View attachment 15722View attachment 15724

If I were you then I would first useI've done Integral on the function but my final answer should be twice as big (should be 1/4 and not 1/8 at the at end)
I'm trying to find my mistake for hours.. any help ?
View attachment 15722View attachment 15724
If I were you then I would first use