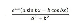
Integration by Parts: Integrate e^{ax} * sin(bx) with respect to x

Aminta_1900

New member
Joined
Sep 19, 2022
Messages
38
Integrate with respect to x

e^ax * sin bx

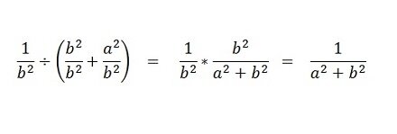
I'm getting lost somewhere, and I think it might be where I am adding to both sides.

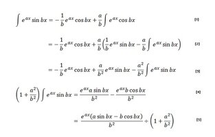
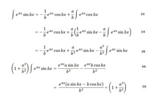
My workings

QQQ4.jpg
Here I give up, because it doesn't look like the answer.

QQQ5.jpg
But thanks a lot for your time.
 

Attachments

  • QQQ2.jpg
    QQQ2.jpg
    60 KB · Views: 3
  • QQQ3.jpg
    QQQ3.jpg
    7 KB · Views: 3
Top