Integration difficulty: integrate x^5 cos(4x^7)

yobacul

New member
Joined
Mar 23, 2020
Messages
38
How does one integrate x^5 cos(4x^7)? By parts does not seem to work ... TIA
 
Tha
Please show us the original question as given to you, so we can see if there is something you might be missing.
That's exactly how it is. No difference. It just says integrate the following. I suspect there is a mistake.
 
Yes I know and I have observed that too but no there is no mistake on the questions. I did not copy it wrongly
Does it have integration limits? Like an integral from 0 to 1? Because computing a definite integral is sometimes easier than finding an antiderivative
 
Does it have integration limits? Like an integral from 0 to 1? Because computing a definite integral is sometimes easier than finding an antiderivative
This (or a larger problem in which the integral is just a step) is the possibility that led to my question.

If there is indeed nothing more to the problem, then the next question is about the context and the instructions: What is being taught, and what kind of answer is requested? Seeing the entire problem as an image can help with all of this.
 
No limits given
You probably don't realize how uncooperative you are being. If you would just show us the entire actual problem (even if it's in another language), that might make it possible for us to answer your question:
How does one integrate x^5 cos(4x^7)? By parts does not seem to work ... TIA
No it does not. I am wondering if there is a mistake with the question
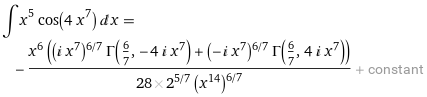
As far as we can tell, the question is mistaken, because you can't integrate this function using methods that are commonly taught. Here is what WolframAlpha does:

1679011204408.png
1679011226993.png

The presence of a special function tells us that the answer to your first question is, "one can't, in terms of elementary functions."

Now, if someone miscopied it, and they intended something like this, then it would be easy:

1679011307012.png

If it were from a textbook that gave the answer in the back, we might be able to determine what they intended the problem to be.

But as it is, we're stuck.
 
Top