Hi all,
Hope someone will be able to help me, I've been sitting at that issue for a bit and I just can't get round it.
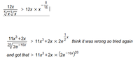
I have to simplify the equations before I can preform integration by parts BUT the biggest issue for me is.. to simplify it in a way where I can actually use integration.
I just lose it when there are fractions full of everything (anyone can recommend any good resources to look at?).

I'm just unsure how to treat the roots and powers together - I simplify it more or less but it doesn't seem like my end result is right, it can't be right if I can't integrate it (or at least I don't think I can)
Any explanations how to deal with these, even on different examples would be really helpful.
Thank you,
Click
> edit
forgot to mention - the question asks to simplify and integrate - I think I will need to use integration by parts but I'm stuck at properly simplifying it. The equations used were made up by me - so they might not make much sense - I didn't wanted to ask the same question as my homework since I want to resolve it myself hopefully if I get through the simplifying it to make it work.
Hope someone will be able to help me, I've been sitting at that issue for a bit and I just can't get round it.
I have to simplify the equations before I can preform integration by parts BUT the biggest issue for me is.. to simplify it in a way where I can actually use integration.
I just lose it when there are fractions full of everything (anyone can recommend any good resources to look at?).

I'm just unsure how to treat the roots and powers together - I simplify it more or less but it doesn't seem like my end result is right, it can't be right if I can't integrate it (or at least I don't think I can)
Any explanations how to deal with these, even on different examples would be really helpful.
Thank you,
Click
> edit
forgot to mention - the question asks to simplify and integrate - I think I will need to use integration by parts but I'm stuck at properly simplifying it. The equations used were made up by me - so they might not make much sense - I didn't wanted to ask the same question as my homework since I want to resolve it myself hopefully if I get through the simplifying it to make it work.
Last edited: