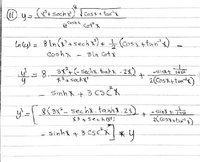
Steven G Elite Member Joined Dec 30, 2014 Messages 14,605 Mar 28, 2020 #2 No, you have many mistakes. For example \(\displaystyle ln(\frac{ab}{c})\neq ln(a) + b - c\) What does it equal? In your last line you should not have y. You should express y in terms of x.
No, you have many mistakes. For example \(\displaystyle ln(\frac{ab}{c})\neq ln(a) + b - c\) What does it equal? In your last line you should not have y. You should express y in terms of x.
Y YoussefM New member Joined Mar 28, 2020 Messages 2 Mar 28, 2020 #3 Thank you so much, i really appreciate
Steven G Elite Member Joined Dec 30, 2014 Messages 14,605 Mar 28, 2020 #4 ln(ab/c) = ln(a) + ln(b) - ln(c)