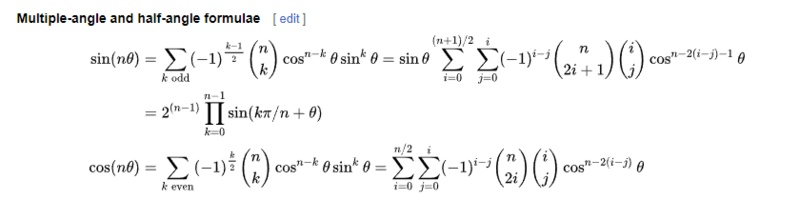
I vaguely recall seeing an identity that showed sin^n(x) being expressed in terms of sums sin(mx).
basically writing sin^n(x) as a sum of multiple linear sines but with different factors attached to the argument
I saw this during a complex algebra lesson if that helps
basically writing sin^n(x) as a sum of multiple linear sines but with different factors attached to the argument
I saw this during a complex algebra lesson if that helps

