Is this Integration has a solution

anita chandra

New member
Joined
Sep 9, 2019
Messages
4
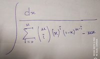
I was trying to solve a differential equation that I defined to study the dynamics of a system. Meanwhile, I encounter integration. The integration is shown in the image below. I tried some solutions but I am failed to get a solution. In one solution, I took "x" common from the denominator terms and then apply a partial method to solve the equation. But that does not work. I request the members of this forum to give me at least an intuition to how can I solve this integration. Thanks a lot.
 

Attachments

  • IMG_20190909_183344.jpg
    IMG_20190909_183344.jpg
    1.4 MB · Views: 5
Isn't that sum in the denominator just [MATH](x + (1-x))^n[/MATH]?
 
Isn't that sum in the denominator just [MATH](x + (1-x))^n[/MATH]?
yes, the first part of the denominator is a binomial form. so my integral part is 1/ (x+(1-x))^n + mu*x where mu is a constant.

Is the first part can be simply be replaced by 1. Do we can simply write replace those term by 1? As the sum of the binomial term is 1.
 
yes, the first part of the denominator is a binomial form. so my integral part is 1/ (x+(1-x))^n + mu*x where mu is a constant.

Is the first part can be simply be replaced by 1. Do we can simply write replace those term by 1? As the sum of the binomial term is 1.

If I will replace the whole term with 1 then I can easily solve the integral. My question is does we can simply this equation like this.

Thanks for ur reply LCKurtz
 
Top