Length of bend curve

SanderJ

New member
Joined
Jun 3, 2021
Messages
3
Lenght bend.png

For a rails I have size (width) A (200 cm) en depth B (70 cm). However I need to know the length C to order the right (curtain)rail length.
I was a long time that I did math in school :-( and I can any solution on the web.
 
View attachment 27617

For a rails I have size (width) A (200 cm) en depth B (70 cm). However I need to know the length C to order the right (curtain)rail length.
I was a long time that I did math in school :-( and I can any solution on the web.
Is the rail part of a circle? We need more description of the arc to be able to derive the length of the curve.

Please show us what you have tried and exactly where you are stuck.

Please follow the rules of posting in this forum, as enunciated at:


Please share your work/thoughts about this problem
 
Curved-bay-2000x1200-1.jpg
Example of other situation


It isn't a part of a circle so as far as I remember Schermafbeelding 2021-06-04 om 08.36.27.png will not work because I have to calculate the bend based the measurements A and B
 
Yes I am looking for the arc lengt based on the measurement of A (length) and B (height or depth). Formula for theta? Sorry been a long time since I was in high-school ;-(
 
Yes I am looking for the arc lengt based on the measurement of A (length) and B (height or depth). Formula for theta? Sorry been a long time since I was in high-school ;-(
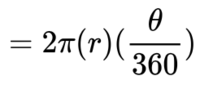
You did read the link, right? The formula for theta is the second one on the page:

The central angle is​
[MATH]{\displaystyle \theta =2\arcsin {\tfrac {c}{2R}}}[/MATH]​

Arcsin is another name for \(\sin^{-1}\) on a calculator.

You A is their c, and your B is their h.
 
Top