Limits

Luca Gvr

New member
Joined
Feb 15, 2021
Messages
1
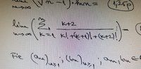
I need help with the following limit
 

Attachments

  • 16134568914542674189160912192689.jpg
    16134568914542674189160912192689.jpg
    4.4 MB · Views: 9
It might help to know why the above works.. basically you are factoring out a k! out of both terms.

[MATH]k! + (k+1)! = k! + (k+1)*k!= k!* (1+k+1)[/MATH]
You can apply that idea to the entire bottom of the fraction. Then you'll be able to simply stuff after that. The following limit may be helpful :). It's likely you do not need to prove this fact because the proof is a bit difficult.

[MATH] \sum_{n=1}^{\infty} \frac{1}{n!} = e [/MATH]
 
AmandasMathHelp said:
[MATH] \sum_{n=1}^{\infty} \frac{1}{n!} = e [/MATH]


That sum equals \(\displaystyle \ e - 1. \ \ \) You need to start with n = 0.
 
Top