Line integrals help

thedudeadrian

New member
Joined
Apr 3, 2020
Messages
2
Hi I'm working with line integrals and when I'm calculating |r'(t)| of x=t and y=t2 I get sqrt(12+(2t)2). This is equal to = 1 + 4t2. But my book tells me that the answer is 2t which makes no sense at all.

Im doing task 6 on the tasks on the picture I added.

Thanks,
Adrian
 

Attachments

  • task_6.jpg
    task_6.jpg
    1.3 MB · Views: 6
Please share your work with us so we can see if you made any errors and/or if the solution is wrong.
 
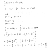
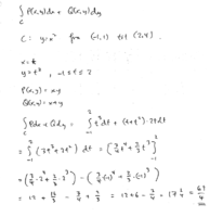
My answer: But correction says to use 2t instead of sqrt(1+4t2)
1585934216357.png


This is the correct solution below. I don't understand how they get 2t instead sqrt(1+4t2).
1585934094114.png
 

Attachments

  • 1585934083426.png
    1585934083426.png
    77.4 KB · Views: 0
Hi I'm working with line integrals and when I'm calculating |r'(t)| of x=t and y=t2 I get sqrt(12+(2t)2). This is equal to = 1 + 4t2. But my book tells me that the answer is 2t which makes no sense at all.

Im doing task 6 on the tasks on the picture I added.

Thanks,
Adrian
Unfortunately, your picture cut off the statement of the first part of the problem. That might not seem relevant to you but I suspect your difficulty is related to it. I'm guessing the integrals in 1 - 5 are integrals with respect to arc length like [MATH]\int_C f(x,y)~ds[/MATH]. That is why you are wanting to calculate [MATH]ds = \sqrt{1 + y'^2}~dx[/MATH]. Problem 6 and the others are ordinary line integrals, not arc length type. I think this assignment is to help you see the difference and how to work them.
 
Top