Logarithmic function

Matthew Ko

New member
Joined
Aug 14, 2019
Messages
22
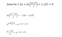
Hi,
I've been struggling with this logarithmic problem. My attempted work is attached along with the problem. Even after I've done my last step, I noticed that I still can't isolate the variable a in order to solve for it. Could someone please help me? Thank you for your time in reading this post.
 

Attachments

  • Capture.PNG
    Capture.PNG
    9.7 KB · Views: 13
Hi,
I've been struggling with this logarithmic problem. My attempted work is attached along with the problem. Even after I've done my last step, I noticed that I still can't isolate the variable a in order to solve for it. Could someone please help me? Thank you for your time in reading this post.
Did your Assignment expect an

EXACT answer or

an approximate answer
 
Do you know and can you use the "Lambert W function"?

Thank you so much for helping me.

I searched the function in Google and came to understand why Subhotosh Khan would ask me if I wanted either an exact or approximate answer. For the moment, however (as mentioned), I would like to know how to solve for an approximate answer.
 
Thank you so much for helping me.

An approximate answer would suffice for the moment, sir/madam.
What method have you been taught to estimate the roots of a function?

First plot the function for a domain of say -5≤x≤5 and observe the nature of the curve.
 
Hi,
I've been struggling with this logarithmic problem. My attempted work is attached along with the problem. Even after I've done my last step, I noticed that I still can't isolate the variable a in order to solve for it. Could someone please help me? Thank you for your time in reading this post.
If I were the instructor who assigned this problem, I would expect you to first plot:

y = 1.5 * x + ln[(x + 1.5)/x] + 1.125

then decide about path-forward
 
That is why I was surprised when you asked about

"Lambert function"!(response #3)​
 
Top