allegansveritatem
Full Member
- Joined
- Jan 10, 2018
- Messages
- 962
Here is what I'm being asked to prove for every positive integer n:

First I tested with n=1:

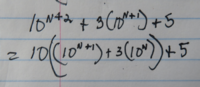
Then I tried this and that and that and this and the best I could come up with is represented by the following:

I can't seem to get beyond this....has anyone got any ideas? I have tried things like writing 5 as (18-13) etc., but had no luck.
First I tested with n=1:
Then I tried this and that and that and this and the best I could come up with is represented by the following:

I can't seem to get beyond this....has anyone got any ideas? I have tried things like writing 5 as (18-13) etc., but had no luck.