allegansveritatem
Full Member
- Joined
- Jan 10, 2018
- Messages
- 962
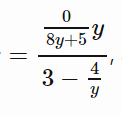
My goal is to find the inverse of the function. I am trying to isolate the x. Here is what I get--I have done this numerous times and get the same result and it is NOT the inverse of the original:

What is the problem here? I know it is wrong because I have checked it both graphically and by plugging in some values of the original function. So...what gives?

What is the problem here? I know it is wrong because I have checked it both graphically and by plugging in some values of the original function. So...what gives?

