logistic_guy
Senior Member
- Joined
- Apr 17, 2024
- Messages
- 2,212
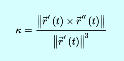
here is the question
Find the osculating circle for the parabola \(\displaystyle x = y^2\) at \(\displaystyle t = 0\).
i need to parametrize the curve of this parabola
\(\displaystyle y = -\sqrt{x}\) and \(\displaystyle y = \sqrt{x}\)
can i say \(\displaystyle \bold{r}_1(t) = (t, -\sqrt{t})\) and \(\displaystyle \bold{r}_2(t) = (t, \sqrt{t})\)?
Find the osculating circle for the parabola \(\displaystyle x = y^2\) at \(\displaystyle t = 0\).
i need to parametrize the curve of this parabola
\(\displaystyle y = -\sqrt{x}\) and \(\displaystyle y = \sqrt{x}\)
can i say \(\displaystyle \bold{r}_1(t) = (t, -\sqrt{t})\) and \(\displaystyle \bold{r}_2(t) = (t, \sqrt{t})\)?

