I recently came across this pattern:
2^2+3^2+6^2 is a perfect square.
3^2+4^2+12^2 is a perfect square.
4^2+5^2+20^2 is a perfect square
I can prove this algebraically starting with this kind of idea:
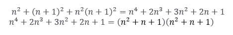
n^2+(n+1)^2+n^2 (n+1)^2
Does anyone have a more elegant proof? Or perhaps a picture proof? Is this a well known result? I did a quick search but nothing much relating to it.
2^2+3^2+6^2 is a perfect square.
3^2+4^2+12^2 is a perfect square.
4^2+5^2+20^2 is a perfect square
I can prove this algebraically starting with this kind of idea:
n^2+(n+1)^2+n^2 (n+1)^2
Does anyone have a more elegant proof? Or perhaps a picture proof? Is this a well known result? I did a quick search but nothing much relating to it.
