Solve for n: 6C4 = 3 * (nC1) + (n-1)C(n-2)



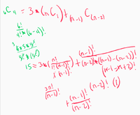
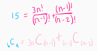
When I say first image I will be referring to the picture with the green. When I say second image I am referring to the one with blue, red, and pink in it. The third image is the one that is mostly comprised of the yellow writing.
In the first image I solved for the left side, and got 15. I am about 99% sure that is correct. Then, on the right side (still talking about the first image), I simplified. I simplified to what I have on the second image. I am stuck here though. I am unsure of how you are supposed to solve for n. I rewrote the original problem but used the new n,r I had. That's what the bottom part of my image two is. I can't get passed that point, but I need to solve for n. I was able to solve, just through a guess and check method, but is there a way to do it not by just guessing? I got the answer of 4. The third image is showing my work when I put 4 in for n, and showing how it is correct because it is equal to 15, which is what I found 6C4 to be earlier. I just am unsure how to get to the answer through using math, and not simply just guessing.



When I say first image I will be referring to the picture with the green. When I say second image I am referring to the one with blue, red, and pink in it. The third image is the one that is mostly comprised of the yellow writing.
In the first image I solved for the left side, and got 15. I am about 99% sure that is correct. Then, on the right side (still talking about the first image), I simplified. I simplified to what I have on the second image. I am stuck here though. I am unsure of how you are supposed to solve for n. I rewrote the original problem but used the new n,r I had. That's what the bottom part of my image two is. I can't get passed that point, but I need to solve for n. I was able to solve, just through a guess and check method, but is there a way to do it not by just guessing? I got the answer of 4. The third image is showing my work when I put 4 in for n, and showing how it is correct because it is equal to 15, which is what I found 6C4 to be earlier. I just am unsure how to get to the answer through using math, and not simply just guessing.