Please help me on this Pure Maths question.

How did they get ^2 from?
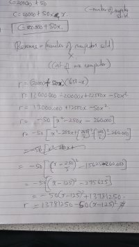
The squared term comes from multiplying out c*p.

(20000 + 50x)(650 – x)

If you haven't learned how to multiply two binomial expressions, please let us know.

[imath]\;[/imath]
 
and for d) they should charge each computer 650-125 = for a maximum revenue of 13781250.pls let me know if this is right
 
did I get this right ?

r=13781250-50(x-125)^2
No, that is not correct.

EDIT: That result is valid (by completing the square), but it's not what I'd asked you to do. ;)

Please show your work for multiplying the following. If you don't know how, then please say so.

(20000 + 50x)(650 – x)

[imath]\;[/imath]
 
they should charge each computer 650-125 = for a maximum revenue of 13781250.pls let me know if this is right
Yes, those numbers match mine, but how did you determine them. Are you starting with the answer and trying to work backwards?

By the way, you ought to simplify expressions like 650–125, before reporting them as answers.

[imath]\;[/imath]
 
There is no answer for this question. I downloaded from online and tried to do the question and since even the part a was confusing I hit a stalemate. Anyway thank you so so much for your help. I wouldn't have solved or even comprehend what the question is saying without your help.
 

Attachments

  • 20220513_074803.jpg
    20220513_074803.jpg
    1.2 MB · Views: 9
Hi Ken. I must have made an error, while checking your first result for R (also, I hadn't recognized the vertex form in that initial post).

Here's a different way to find vertex coordinates (i.e., the minimum/maximum value on a parabola, and where it happens).

Given y = Ax^2 + Bx + C

The vertex x-coordinate is -B/(2A)


r = -50x^2 + 12500x + 13000000

vertex x-coordinate = -12500/(-2*50) = 125

The corresponding y-coordinate is

r = -50(125)^2 + 12500(125) + 13000000 = 13781250

?
 
Hi Ken. I must have made an error, while checking your first result for R (also, I hadn't recognized the vertex form in that initial post).

Here's a different way to find the vertex coordinates (i.e., the minimum/maximum value on a parabola, and where it happens).

Given y = Ax^2 + Bx + C

The vertex x-coordinate is -B/(2A)


r = -50x^2 + 12500x + 13000000

vertex x-coordinate = -12500/(-2*50) = 125

The corresponding y-coordinate is

r = -50(125)^2 + 12500(125) + 13000000 = 13781250
Fantastic. Thanks so much Otis. You're a star. Keep helping students in need.
 
Top