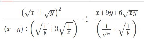
Please help with simplifying [ (sqrt(x) + sqrt(y))^2] / [ (x - y) / (sqrt(1/y) + 3 sqrt(1/x)) ] divided by...

Alex398

New member
Joined
Apr 30, 2023
Messages
1
Mathh.jpg
I am unable to come forward with this expression. These are the steps i take at first but i am doing something wrong...
Unbenannt.JPG
Thank you for your help!
 
View attachment 35684
I am unable to come forward with this expression. These are the steps i take at first but i am doing something wrong...
View attachment 35685
Thank you for your help!
Why do you think anything is wrong? Just keep doing as you are doing.

I would simplify the two expressions with radicals in the denominators by using the common denominator. Then some more things will cancel; then, if the goal is to eliminate all radicals from the denominator, you can use conjugates.

Is there any indication as to what would be considered "simple" enough?
 
Top