Please Help

wvgewgeg

New member
Joined
Nov 20, 2021
Messages
13
Please Solve this, I am unable. Please, I beg

The question is attached,

I need d - f

Please Help
Screenshot 2021-11-18 at 12.00.49 PM.png
 
Hint: 1+ 2 + 3 + ... + n = n(n+1)/2

Now show us some work!!
Dear Jomo, I tried I did solve (a) & (b) by myself: using some patterns and help from exercise and other examples, I understood how to solve that type of problem by myself and solve those.

But I am unable to do the d, e & f.

If you can solve this I will very grateful to you and learn more.

I am not an expert but I believe understanding examples and performing them to new problems empowers you to solve problems faster and accurately and that is why I am requesting this sir.

That's why I am saying in the big problem, I did solve 3 but I am unable to solve the other 3, if you can solve it, I will use it as a reference and solve more problems, that is the reason I said step by step.

I am just going to use your answer as a reference with all due respect for solving the relevant questions as there are no examples in the book for this type of problem.

It will empower me to learn, I know you might be thinking why should you solve the entire problem, but please try to understand I want to use the platform for good and just this time if you grant an exception for one single time, It can really empower me for future and board (biggest exam in my home country) by studying your answers. and the first three answers are the proof, I am not just a lazy guy getting the answers, I am a guy who wants to use your answer to solve more.

That is my very very humble and begging request. Please?


Screenshot 2021-11-21 at 8.19.23 AM.png
 
You don't get it yet, even after a warning, that no helper here is going to do the work for you.
Show us your work for d. Did you do a and b on your own?
 
You don't get it yet, even after a warning, that no helper here is going to do the work for you.
Show us your work for d. Did you do a and b on your own?
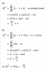
yes here, I also attached the answer, you can see sir, as you asked for it.

I am here just asking for help with a particular problem sir, please help me.

I just want to use the solution as a reference to solve other problems.
 
Beer induced reaction follows.
Dear Jomo, I tried I did solve (a) & (b) by myself: using some patterns and help from exercise and other examples, I understood how to solve that type of problem by myself and solve those.

But I am unable to do the d, e & f.

If you can solve this I will very grateful to you and learn more.

I am not an expert but I believe understanding examples and performing them to new problems empowers you to solve problems faster and accurately and that is why I am requesting this sir.

That's why I am saying in the big problem, I did solve 3 but I am unable to solve the other 3, if you can solve it, I will use it as a reference and solve more problems, that is the reason I said step by step.

I am just going to use your answer as a reference with all due respect for solving the relevant questions as there are no examples in the book for this type of problem.

It will empower me to learn, I know you might be thinking why should you solve the entire problem, but please try to understand I want to use the platform for good and just this time if you grant an exception for one single time, It can really empower me for future and board (biggest exam in my home country) by studying your answers. and the first three answers are the proof, I am not just a lazy guy getting the answers, I am a guy who wants to use your answer to solve more.

That is my very very humble and begging request. Please?


View attachment 29822
It's not really his solutions.
He's just passing it as his own to gain sympathy.
It's was actually worked out by moderator skipjack at https://mathforums.com/threads/can-...d-step-by-step-so-i-can-understand-it.361311/
Excellent screenshot manipulation by the way.
 
Top