gimbalmattymathews
New member
- Joined
- Jul 24, 2022
- Messages
- 2
Hi,
I had a discussion with a friend recently, they posed a question to me. If there is a game where the objective is to win 10 rounds against other opponents, with each player having only 3 lives. What is the percentage chance that you will win the game? Assuming that each player has a 1/2 chance of winning or losing each round. And if you lose a round you effectively have to replay the round as you must win 10 rounds to win the game. So if you lost no rounds 10 rounds would be played, if you lost 1 life and still won you would play a total of 11 rounds, 2 lives you would play 12 and for 3 lives 13 rounds would be played.
It's been a while since I studied probabilities but I came up with a formula for calculating this answer however my friend deems it unnecessary or that her way of calculating it was just as sufficient.
I was just wondering if I could get some insight from other knowledgeable people on the subject.
This was my friends calculation. It's a little blurry but I think she calculated the total percentage chance of winning at 0.98%.

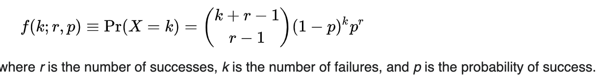
This is my formula shown below



Where r is the number of lives used (number of rounds lost), from 1 to 3, leading to a greater number of rounds played (up to 13). And the 'n' part of the 'nCr' function being equal to N+r-1 or total number of rounds played in that event but minus one as the last round cannot be a loss (in a win scenario).
I calculated the formula inputting the values for the equation shown above and received a percentage (value received from formula above x100) of 4.61%, that is the value I received for total percentage chance of winning the game (winning 10 rounds) in all scenarios (having used no lives, 1 life, 2 lives or 3 lives).
And once again it's been a long time since I studied this particular subject so any thoughts or input is appreciated.
I had a discussion with a friend recently, they posed a question to me. If there is a game where the objective is to win 10 rounds against other opponents, with each player having only 3 lives. What is the percentage chance that you will win the game? Assuming that each player has a 1/2 chance of winning or losing each round. And if you lose a round you effectively have to replay the round as you must win 10 rounds to win the game. So if you lost no rounds 10 rounds would be played, if you lost 1 life and still won you would play a total of 11 rounds, 2 lives you would play 12 and for 3 lives 13 rounds would be played.
It's been a while since I studied probabilities but I came up with a formula for calculating this answer however my friend deems it unnecessary or that her way of calculating it was just as sufficient.
I was just wondering if I could get some insight from other knowledgeable people on the subject.
This was my friends calculation. It's a little blurry but I think she calculated the total percentage chance of winning at 0.98%.

This is my formula shown below



Where r is the number of lives used (number of rounds lost), from 1 to 3, leading to a greater number of rounds played (up to 13). And the 'n' part of the 'nCr' function being equal to N+r-1 or total number of rounds played in that event but minus one as the last round cannot be a loss (in a win scenario).
I calculated the formula inputting the values for the equation shown above and received a percentage (value received from formula above x100) of 4.61%, that is the value I received for total percentage chance of winning the game (winning 10 rounds) in all scenarios (having used no lives, 1 life, 2 lives or 3 lives).
And once again it's been a long time since I studied this particular subject so any thoughts or input is appreciated.
