Probability

hmd128

New member
Joined
Mar 31, 2021
Messages
2
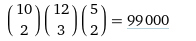
A jungle contains 10 bears, 12 lions, and 5 foxes. From these animals, a group of 7 will be selected. How many distinct groups are possible if:

a) There are two bears, 3 lions, and 2 foxes.

b) Exactly 4 lions


These are what I have, but I feel it's super wrong:
a)1617212144026.png
b)1617212266451.png
 
a) looks fine. But for b) selecting 4 from 12 is good. But the rest is easier. Just think about selecting the remaining 3 from the remaining total of other animals.
 
a) looks fine. But for b) selecting 4 from 12 is good. But the rest is easier. Just think about selecting the remaining 3 from the remaining total of other animals.
Thanks for the reply! It makes sense.
 
Top